您现在所在位置:首页 > 资讯中心 > 行业要闻

ACS Nano丨四川大学向钢教授团队:用于高能效高可靠性模拟型阻变开关与人工突触应用的具有尖锐稳定负微分电阻的Ga₂O₃忆阻器

近期四川大学向钢教授研究团队在学术期刊 ACS Nano 发布了一篇题为“Robust Ga2O3 Memristor with Sharp Stable Negative Differential Resistance for Energy-Efficient Reliable Analog Resistive Switching and Artificial Synapse Applications”(用于高能效高可靠性模拟型阻变开关与人工突触应用的具有尖锐稳定负微分电阻的Ga2O3忆阻器)的文章。(DOI:https://doi.org/10.1021/acsnano.5c15821)

一、 背景

忆阻器因其结构简单、非易失性及类突触的模拟能力,被认为是新一代存储与类脑计算的重要器件基础。然而,在高电场工作或高密度集成条件下,传统忆阻器普遍面临电流过冲、功耗过高及热积累严重等问题,严重制约了器件的稳定性与可靠性。目前多数忆阻器仍需依赖外部限流电路来抑制电流,这不仅增加了系统复杂度,也降低了整体能效。因此,发展一种具备本征电流自限制能力、可在高电场下稳定工作的低功耗忆阻器,已成为该领域亟待突破的关键问题。β-Ga2O3 作为一种超宽禁带半导体,具有高击穿电场、优异的热稳定性和抗辐照性能,为构建高可靠忆阻器提供了理想材料平台。然而,如何在 β-Ga2O3 忆阻器中实现高电场下的有效功率调控与电流限制仍然是挑战。负微分电阻(Negative Differential Resistance, NDR)效应因其随电压升高电流反而下降的特性,天然具备电流自钳位能力,但其在 β-Ga2O3 忆阻器中的引入及稳定实现尚未得到系统研究。

二、 主要内容

目前,忆阻器在高电场工作条件下主要依赖外部电路进行功耗管理,这不仅增加了系统复杂度,也降低了能效。为解决这一问题,亟需实现一种具备本征电流限制机制、能够在高电场下高效稳定运行的忆阻器。本文报道了一种性能稳定的 Sn 掺杂 β-Ga2O3 忆阻器,其在 MV·m-1 量级电场下表现出显著的负微分电阻(NDR)效应,从而实现对电流过冲的有效自限制。NDR 效应与阻变特性的共存源于氧空位的可逆迁移以及肖特基势垒的动态调制。值得注意的是,该忆阻器在已报道器件中展现出创纪录的 NDR 性能指标,包括高达 3.55 的最陡 NDR 斜率,以及长达 103 次循环和 104 s 的耐久性。此外,该器件还表现出典型的模拟型阻变行为和关键的人工突触特性。在高电场下依托极为陡峭且稳定的 NDR 效应,这种高可靠性的 Ga2O3 忆阻器为实现高性能、低功耗、多功能应用提供了极具潜力的平台。

三、 创新点

● 实现已见于报道的忆阻器中最陡峭且最稳定的负微分电阻(NDR)响应。

● 首次在 β-Ga2O3 忆阻器中实现高电场下稳定可重复的 NDR-RS 协同工作。

● 优异性能源自“氧空位迁移—肖特基势垒动态调制”协同机制。

● 兼具低功耗与类突触功能的多功能忆阻器平台。

四、 结论

本研究成功展示了一种性能稳健的 Sn 掺杂 β-Ga2O3 忆阻器,该器件将陡峭且稳定的负微分电阻(NDR)效应与模拟型阻变(RS)特性及关键的人工突触(AS)行为有机集成于一体。优化后的忆阻器表现出显著的 NDR 效应,其 NDR 斜率最高可达 3.55,并实现了长达 103 次循环和 104 s 的耐久性,在已报道的忆阻器中处于领先水平,从而为存储器和类脑计算等低功耗、高可靠应用提供了强有力的本征电流自限制能力。本工作加深了对同时具备 NDR–RS–AS 多重特性忆阻器物理机制的理解,并为基于 β-Ga2O3 的多功能器件应用提供了一条具有前景的实现路径。

五、 项目支持

本工作得到了国家重点研发计划(MOST)的资助。作者感谢四川大学分析与测试中心在 SEM、TEM、XPS 及 XRD 测试方面提供的支持。

图 1. (A) S3 的截面 SEM 图像;(B) 对应的 EDS 元素分布图。(C) S0–S6 的 XRD 衍射谱。(D, E) 分别为 S0 和 S3 的截面 HRTEM 图像。(F) S0(Rq = 0.522 nm)和 S3(Rq = 0.498 nm)的 AFM 图像。(G) S3 中 Ga 和 Sn 元素的 SIMS 深度分布曲线。(H) S0–S6 的光学透过率谱,插图为 (αhν)²–hν 拟合曲线。(I) S0–S6 的带隙能量(Eg)变化情况。

图 2. (A) S0–S5 的 XPS 全谱;(B) Sn 3d 能级谱;(C) O 1s 能级谱。(c) 中给出了与氧空位(VO)相关峰的积分面积占比。

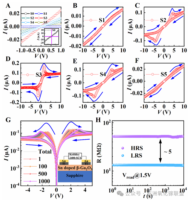
图 3. (A) 未掺杂(S0)及 Sn 掺杂薄膜(S1–S5)的 I–V 特性。(B–F) 基于 S1–S5 的忆阻器器件的忆阻特性。(g) S3 忆阻器在 −5 V 至 +5 V 扫描条件下连续 1000 次循环的 I–V 曲线;(h) 在 1.5 V 偏压下,S3 忆阻器低阻态(LRS)与高阻态(HRS)超过 10⁴ s 的稳定性。

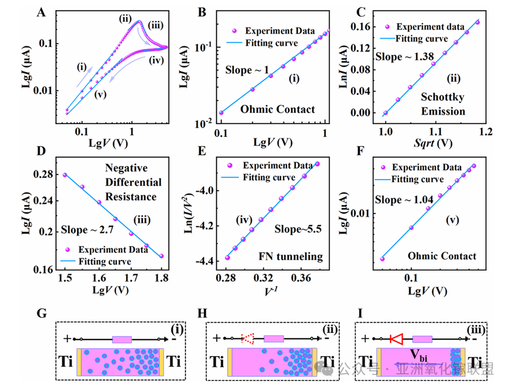
图 4. (A) S3 忆阻器的正向 I–V 曲线。(B–F) 区域 (i–v) 内 I–V 特性的拟合结果。(G–I) 区域 (i–iii) 对应的物理机理示意图。

图 5.(A) S3 忆阻器的对数尺度 I–V 回滞曲线,插图为正、负偏压下 NDR 区域的双对数坐标图。(B) 本工作中 Sn 掺杂 β-Ga₂O₃ 忆阻器的 NDR 斜率与耐久性,与已报道忆阻器的对比。

图 6. (A) 正电压和 (B) 负电压驱动下 S3 忆阻器的模拟电阻切换(RS)行为。(C) 由一对连续突触前脉冲触发的兴奋性突触后电流(EPSC)。(D) 成对脉冲易化(PPF)指数随脉冲间隔变化的关系。

DOI:

doi.org/10.1021/acsnano.5c15821

本文转发自《亚洲氧化镓联盟》订阅号