西安电子科技大学郝跃院士、张进成教授、冯倩教授团队:通过金属有机化学气相沉积法制备高质量异质外延Ga₂O₃薄膜
由西安电子科技大学郝跃院士、张进成教授、冯倩教授团队在学术期刊 Micromachines 发布了一篇名为 A Pathway to High-Quality Heteroepitaxial Ga2O3 Films via Metalorganic Chemical Vapor Deposition(通过金属有机化学气相沉积法制备高质量异质外延 Ga2O3 薄膜)的文章。
一、 项目支持
本研究获得国家自然科学基金(62174127)、 国家重点研发计划(2021YFB3601102)、江苏省重点研发计划(BE2020004-4)、山西省重点研发计划(202202030201001)。同时感谢合肥综合性国家科学中心、江苏第三代半导体研究院的支持。本项目预印本由西安电子科技大学资助。
二、 背景
β-氧化镓(β-Ga2O3)作为一种超宽禁带半导体,拥有约 4.9 eV 的超宽禁带。相比于GaN(~3.4 eV)和SiC(~3.3 eV),具有更高的理论击穿场强(~8 MV/cm),在日盲紫外探测器和高功率电子器件领域具有巨大的应用潜力。其巴利加优值(衡量功率器件性能的关键指标)理论上是 SiC 的 10 倍、GaN 的 4 倍,这使其在高压、高功率电子器件领域极具竞争力。尽管可以使用熔体法生长 Ga2O3 体单晶,但其衬底成本仍然很高,限制了大规模商业化应用。在低成本、大尺寸的蓝宝石衬底上进行异质外延生长是降低成本的有效途径。然而,蓝宝石与 Ga2O3 之间存在较大的晶格失配和热膨胀系数差异,这容易导致高密度的位错和旋转畴,由于晶体对称性的差异,外延生长过程中极易形成旋转畴。这些畴界是严重的散射中心,会大幅降低载流子迁移率并增加漏电流,严重影响薄膜质量。MOCVD 是工业生产的首选技术,但在生长 Ga2O3 时,必须在吸附原子迁移率和气相寄生反应/解吸附之间找到极其微妙的平衡,如果获得高质量薄膜需要对生长参数进行精细优化以克服异质外延的挑战。
三、 主要内容
本研究通过金属有机化学气相沉积(MOCVD)技术,系统探究了在不同衬底与温度条件下 β-Ga2O3 薄膜的异质外延生长行为。综合表征表明,衬底类型与生长温度均显著影响薄膜的晶体质量、表面形貌、化学成分及缺陷结构。高温生长薄膜普遍呈现更优异的结晶度和更接近化学计量比的成分,表明氧缺陷显著减少。特定衬底能促进高质量外延生长,形成平整表面和卓越的晶体取向。这些发现为优化高性能 β-Ga2O3 器件的生长参数提供了关键依据。
四、 创新点
● 通过系统的参数优化,在蓝宝石衬底上实现了 FWHM 仅为 0.19° 的 β-Ga2O3 薄膜。这一数值显著优于许多文献报道的数值,显示了极高的晶体质量。
● 详细阐明了 MOCVD 生长过程中,温度和 VI/III 比对吸附原子迁移率与气相寄生反应之间竞争关系的调控机制,为获得高质量薄膜提供了清晰的工艺路径。
五、 总结
本研究确定 800 °C 是实现高质量 β-Ga2O3 异质外延生长的最佳温度,可获得更优异的结晶性、更理想的化学计量比(更接近理想的氧/镓比3:2)以及更低的氧缺陷。6° 切角蓝宝石衬底与 AlN/蓝宝石复合衬底表现最优,能有效抑制非化学计量比失衡及缺陷形成。关键发现是表面平整度可能具有误导性——它并不能保证高相纯度或可控的氧缺陷水平,p-GaN 衬底即为典型例证。这些结果为优化 β-Ga2O3 器件制备中的化学成分与缺陷控制提供了明确指导。

图1. 800 °C 下异质外延生长于不同衬底上的 β-Ga2O3 薄膜表面形貌:(a–e)AFM 顶视图(扫描区域 5 × 5 µm),(f–j)对应的 SEM 图像(比例尺:500 nm)。

图2. 400 °C下异质外延生长于不同衬底上的 β-Ga2O3 薄膜表面形貌:(a–e) AFM 顶视图(扫描区域5 × 5 µm),(f–j) 对应的 SEM 图像(比例尺:500 nm)。

图3. 在 800 °C下于不同衬底上生长的 β-Ga2O3 薄膜的 XRD ω-2θ 扫描图。

图4. 基于 XRD 测量结果,在 800 °C 生长 β-Ga2O3 薄膜时不同衍射峰的 (a) FWHM、(b) 晶粒尺寸及 (c) 位错密度直方图。

图5. 在 400 °C 下于不同衬底上生长的 ε-Ga2O3 薄膜的 XRD ω-2θ 扫描图。

图6. 基于 XRD 测量结果,在 400 °C 生长 β-Ga2O3 薄膜时不同衍射峰的 (a) FWHM、(b) 晶粒尺寸和 (c) 位错密度直方图。

图7. 展示异质外延氧化镓薄膜与不同衬底之间(a)电位差失配与(b)热失配的直方图。

图8. 在十种不同条件下(组合两种温度和五种衬底)生长的氧化镓薄膜的 XPS 普查光谱(0–1200 eV):(a) 800 °C 和 (b) 400 °C。

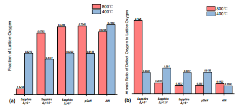
图9. 通过高分辨率XPS光谱峰分解获得的薄膜在 O 1s 区域的相对百分比直方图:(a)镁氧的分数;(b)缺陷氧与镁氧的原子比,对应 800 °C 和 400 °C 下生长的薄膜。

图10. 在十种不同条件下(组合两种温度和五种衬底)生长的氧化镓薄膜的能量色散 X 射线(EDX)光谱元素分布图。

图11. 基于 EDX 分析所得的十种不同生长条件下氧化镓薄膜的 O/Ga 原子比直方图。

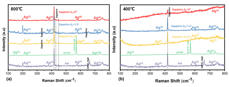
图12. 在十种不同条件下生长的氧化镓薄膜的拉曼光谱:(a) 800 °C;(b) 400 °C。
DOI:
doi.org/10.3390/mi16121363
本文转发自《亚洲氧化镓联盟》订阅号
