复旦大学马宏平教授团队Nat Commun发表:通过在Ga₂O₃与SiC之间构建共价键来提升界面热导率
由复旦大学马宏平教授团队在学术期刊 Nature Communications 发布了一篇名为 Improving interfacial thermal conductivity by constructing covalent bond between Ga2O3 and SiC(通过在 Ga2O3 与 SiC 之间构建共价键来提升界面热导率)的文章。
一、 期刊介绍
Nature Communications 是一个多学科期刊,发表来自自然科学所有领域的高质量研究,包括生物、健康、社会、物理、化学和地球科学等。最新影响因子为14.7。一直稳居在中科一区Top期刊,并且是一本综合性期刊。
二、 项目支持
作者感谢中国国家重点研发计划(2022YFA1203100),国家自然科学基金(62574209),上海市科学技术委员会科技创新计划(21DZ1100800, 23ZR1405300),上海市科学技术委员会科技创新计划(20501110700、20501110702),国家自然科学基金(52302202),宁波市永江人才引进计划(2021A-037-C和2021A-108-G)的支持。
三、 背景
β-氧化镓(β-Ga2O3)作为超宽禁带半导体,在高功率器件中具有巨大潜力,但其极低的热导率导致的严重自热效应是制约其性能的主要瓶颈。将 Ga2O3 薄膜集成到高热导率衬底上是解决散热问题的有效途径。然而,异质集成面临着显著的界面热阻(TBR)挑战。Ga2O3 与 SiC 之间声子态密度的失配以及界面处的缺陷、杂质和非理想的化学键合都会阻碍声子传输,限制整体散热效率。传统的键合方法通常在界面引入低热导率的非晶层或较弱的氢键/范德华力连接,不利于界面热传导。因此,通过优化界面化学键合来降低 TBR 至关重要。
四、 主要内容
氧化镓(Ga2O3)凭借其超宽带隙和高击穿电场特性,正成为新一代功率与射频电子器件中极具前景的半导体材料。然而其固有导热系数极低,导致严重的自加热现象,限制了器件的可靠运行。克服此难题的常规方案是将 Ga2O3 与碳化硅(SiC)等高导热基板集成。然而异质结界面间的弱键合会形成巨大热阻,阻碍高效散热。本研究通过设计中间层在 Ga2O3 与 SiC 间构建强共价键,实现了结构兼容性与高效声子传输的双重突破。该键合策略使界面热导率提升至 162 MW/m2·K,创下 Ga2O3 异质结构的最高纪录。红外热成像验证显示,该键合器件在高功率密度下温度降低达 29 ℃,显著缓解了自发热问题。这些发现为提升 Ga2O3 电子器件的热管理开辟了实用路径,凸显了界面键合设计的重要性。除 Ga2O3 外,该方法可推广至其他受热瓶颈制约性能的宽禁带半导体材料。
五、 创新点
● 首次明确提出并通过实验验证了在 Ga2O3/SiC 异质结中,利用 SAB 技术构建共价键相比于传统的弱相互作用能显著提升界面热传输效率。
● 实现了高达 117 MW/(m2·K) 的界面热导率,这在通过直接键合技术制备的 Ga2O3/SiC 异质结中属于领先水平,证明了该方法在热管理方面的巨大优势。
● SAB 工艺在室温下进行,避免了高温键合可能引入的热应力问题,有利于保持材料的完整性。
六、 结论
通过形成共价键这一简单途径成功增强了 Ga2O3 薄膜在 SiC 衬底上的散热性能,该方法与现有生产线兼容。此外,通过将实验测试中获得的共价键和范德华键接触的 ITC 作为变量,进行了 TCAD 模拟。结果表明,当 ITC 从 17.5 提升至 162.1 MW/m2·K 时,自热效应显著减弱,使 MOSFET 最大输出电流提升 83 mA/mm,同时局部结温明显降低。通过优化热处理工艺,界面微观结构得到调整,从而促进了强健共价键的形成和有效声子传输通道的建立。时域热反射率(TDTR)测量显示,共价键形成后 Ga2O3 与 SiC 间的热传导系数(ITC)达到 162 MW/m2·K 的卓越值,较范德华力连接(17.5 MW/m2·K)提升九倍。此外,通过应用非经典磁性模型(NJTM)进一步增强界面热传导,使强光照射样品的结温较范德华连接降低约 29 ℃,显著提升了器件性能与可靠性。深蚀刻过程中的原位 XPS 研究证实,热处理后界面形成 SiO2 层。界面处的 Si-O 和 Si-C 共价键确保了有效的声子传输,其中 SiO2 层在 Ga2O3 与 SiC 之间起到了声子桥接作用。分子动力学模拟进一步证实,共价键的形成显著增加了界面处的热流,从而降低了其热阻。Ga2O3 与 SiO2 间的 ITC 值较范德华力作用时提升约 40 倍,达到惊人的 919.9 MW/m2·K。通过综合实验与理论分析,研究得出结论:在 Ga2O3 与 SiC 之间引入 SiO2 层有利于共价键的形成,显著增强热扩散能力,为解决 Ga2O3 导热性低的问题提供了有效策略。

图1:退火前后 Ga₂O₃/SiC 和 Ga₂O₃/SiO₂/SiC 异质结的透射电子显微镜图像。(a)制备工艺示意图。(b)未处理样品的截面透射电子显微镜图像及对应能谱图。(c)截面能谱线扫描图。(d)Ga₂O₃/SiC 异质结界面的高分辨率透射电子显微镜图像及选区电子衍射图案。(e)样品在 1173 K 下退火 120 分钟后的截面透射电子显微镜图像及对应能谱图。(f)截面能谱线扫描图。(g)Ga₂O₃/SiO₂/SiC 异质结界面的高分辨率透射电子显微镜图像及选区电子衍射图案。

图2:通过 XRD 和 XRR 分析对沉积样品和退火样品进行的结构表征。(a) 沉积样品和退火样品的 XRD 图谱,(b) 沉积样品和退火样品的测量与拟合 XRR 曲线。(c–e)对应层的提取 XRR 数据,误差条表示标准偏差。

图3:退火前后 Ga₂O₃/SiC 异质结的深度分辨 XPS 分析与结构演变。(a)未处理样品中 Ga₂O₃/SiC 异质结上 Si 2s 和 O 1s 核心能级特征的深度剖面 XPS 谱图。(b)不同蚀刻深度下对应的 Si 2s 和 O 1s XPS 峰。(c)退火 120 分钟样品中 Ga₂O₃/SiC 异质结跨层 Si 2s 和 O 1s 核心能级特征的深度剖面 XPS 谱图。(d)不同蚀刻深度下对应的 Si 2s 和 O 1s XPS 峰。(e)β-Ga₂O₃ 与高温热化后非晶 Ga₂O₃ 的晶体结构示意图。(f)非晶 Ga₂O₃ 的径向分布函数。(g)反应前后 Ga₂O₃ 与 4H-SiC 的异质界面。(h)随反应时间变化的 Si-O 键比例。

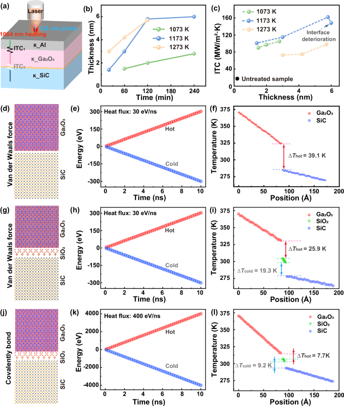
图4:Ga₂O₃/SiC 与 Ga₂O₃/SiO₂/SiC 异质结中不同键合构型下界面热传输的 TDTR 实验与分子动力学模拟分析。(a)样品结构示意图及TDTR实验示意图。(b)不同温度下 SiO₂ 层厚度随时间变化曲线。(c)不同 SiO₂ 层厚度下通过 TDTR 测量获得的 ITC 值。d, g, j 用于分子动力学计算的结构模型:(d)范德华力结合的 Ga₂O₃/SiC 界面;(g) 范德华力结合的 Ga₂O₃/SiO₂/SiC 界面;(j) 共价键结合的 Ga₂O₃/SiO₂/SiC 界面。(e) 范德华力结合的 Ga₂O₃/SiC 界面与 (h) 范德华力结合的 Ga₂O₃/SiO₂/SiC 界面及 (k) 共价键结合界面的热源与热汇累积能量。典型温度分布曲线:由 (f) 范德华力结合的 Ga₂O₃/SiC 界面,以及由 (i) 范德华力与 (l) 共价键结合的 Ga₂O₃/SiO₂/SiC 界面。

图5:Ga₂O₃/SiC 异质结界面热传导的多尺度模拟与实验表征。(a)有限元法模拟示意图。(b, c)基于模拟曲线的散热能力对比。(d)不同界面温度分布曲线。(e)红外热成像测量示意图。(f)基于红外摄像机获取的范德华力与共价键样品表面温度随时间演变曲线。(g)不同时间点原位采集的样品表面对应温度分布。(h)MOSFET 器件结构示意图。(i)MOSFET 器件横截面二维热分布模拟图。(j)不同 ITC 值下 ID 随 VD 变化曲线。(k)ITC 值与最大 ID 关系曲线。(l)ITC 值与退化 ID 关系曲线。
DOI:
doi.org/10.1038/s41467-025-65750-8
本文转发自《亚洲氧化镓联盟》订阅号
