您现在所在位置:首页 > 资讯中心 > 行业要闻

日本NCT:具有超过10kV击穿电压的Multi-fin常闭β-Ga₂O₃垂直晶体管

由日本NCT的研究团队在学术期刊 Applied Physics Express 发布了一篇名为 Multi-fin normally-off β-Ga2O3 vertical transistor with a breakdown voltage exceeding 10 kV(具有超过10kV击穿电压的Multi-fin常闭 β-Ga2O3 垂直晶体管)的文章。

一、 背景

β-Ga2O3 由于其大带隙(4.5–4.9 eV)、高理论击穿电场(6–8 MV/cm)及优异的 Baliga 功率因数,成为电动汽车、电力调节和高压开关等功率电子领域的研究热点。目前,横向和垂直晶体管均已开发,但高压垂直晶体管因需要高质量、低施主浓度(≤5×1015 cm-3)、厚外延层(≥50 µm)及有效边缘终端结构而面临制备挑战,尤其在 (001) 取向外延层中 Cl 容易掺入。近期在 (011) 衬底上实现低施主浓度厚外延层,为高压垂直晶体管提供了可能。本研究基于此制备多鳍 β-Ga2O3 垂直晶体管,实现常关型特性,并获得超过 10 kV 的击穿电压,展示了 β-Ga2O3 垂直功率器件在超高压应用中的潜力。

二、 主要内容

本研究展示了一种多鳍结构的常关型 β-Ga2O3 垂直晶体管,其击穿电压超过10 kV,比导通电阻为289 mΩ·cm2,功率品质因数(PFOM)达到0.35 GW/cm2。该垂直晶体管采用卤化物气相外延(HVPE)在(011)取向的 β-Ga2O3 衬底上外延生长,外延层厚度约 85 µm,施主浓度较低(Nd–Na ≈ 1.8×1015 cm-3),以提升击穿电压性能。超过10 kV的击穿电压是目前 β-Ga2O3 垂直晶体管中报道的最高值。该结果表明 Ga2O3 垂直功率器件具有巨大的应用潜力。

图 1. 带有栅极场板的多鳍 β-Ga₂O₃ 垂直晶体管示意横截面。

图 2. 多鳍 β-Ga2O3 垂直晶体管制备工艺流程示意横截面。

图 3. (a) 鳍沟道的扫描电子显微镜(SEM)横截面图。 (b) 多鳍 β-Ga2O3 垂直晶体管的光学顶视图。

图 4. (a) 多鳍 β-Ga2O3 垂直场效应晶体管的 Jd-Vds 特性。 (b) 假设电流在漂移层中以 45° 角扩散的情况下,有效导电宽度的示意图。

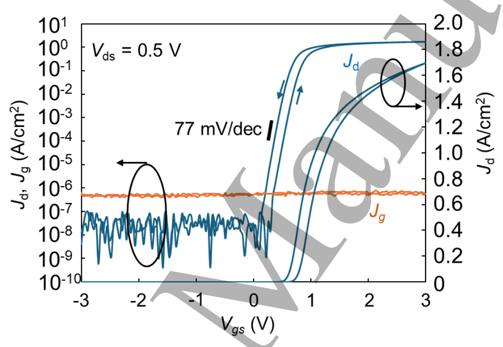
图 5. 多鳍 β-Ga2O3 垂直场效应晶体管的 Jd、Jg-Vgs 特性(对数/线性坐标),及亚阈值斜率。

图 6. 垂直 β-Ga2O3 多鳍场效应晶体管的三端关断状态(Vgs = 0 V)Jd、Jg-Vds 特性。

图 7. 当前最先进的 β-Ga2O3 横向与垂直功率晶体管的 Ron,sp 与 Vbr 基准对比。

DOI:

doi.org/10.35848/1882-0786/ae0d2a

本文转发自《亚洲氧化镓联盟》订阅号